欧美大片在线看免费观看,日本欧美久久久久免费播放网,欧美性受XXXX黑人XYX性爽,欧美片巜蜜桃臀熟3,欧美做爰全过程免费观看,欧美日韩精品

您好,歡迎來到星干線藝考!

咨詢熱線:

400-0094-002

首頁 > 藝考資訊 > 藝考新聞

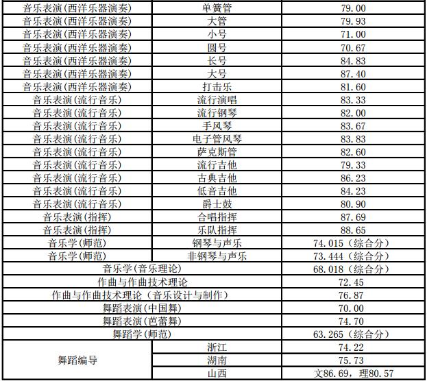
浙江音樂學院2018年本科招生專業(綜合)錄取最低成績

文章來源:未知 2018-07-24 13:27:00

浙江音樂學院2018年全日制本科招生專業(綜合)錄取最低成績

返回藝考新聞列表

分享到:

聯系我們

客服人員將竭誠為您服務!

咨詢熱線

400-0094-002

免費咨詢電話

400-0094-002

地址:北京市昌平區北七家鎮宏福大廈1603
培訓地址:中央戲劇學院昌平校區北300米

星干線藝考官方微信 請掃描關注微信公眾號

星干線藝考店內糾紛和解員:王老師 電話:400-0094-002|

昌平區市場監督管理局北七家所投訴舉報電話:010-89758919 | 營業執照

掃描關注微信公眾號

欢迎光临: 巩留县| 改则县| 宜州市| 桦川县| 高陵县| 平陆县| 门源| 章丘市| 桂平市| 渝中区| 竹溪县| 鹿泉市| 北碚区| 辽宁省| 定日县| 大足县| 文登市| 巴青县| 铁岭县| 德兴市| 甘德县| 开封市| 凤台县| 嘉禾县| 阜新市| 仙桃市| 庄浪县| 惠州市| 登封市| 虎林市| 句容市| 尼木县| 嘉定区| 黑龙江省| 郑州市| 丰原市| 文昌市| 镇宁| 襄垣县| 高雄县| 永修县|